Pedal Equation Notes Pdf .  the pedal of a curve c with respect to a point o (origin) is the locus of the foot of the perpendicular from o to the tangent of the.  equation of the tangent and normal let the equation of the curve be y = f (x) and let p (x, y) be any point on it.   establish the pedal equation of the curve: ( ) r n = a n sin n Īø + b n cos nĪø in the form p 2 a 2n + b 2 n = r 2 n + 2 solution :   in this paper, using elementary physics, we derive the pedal equation for all conic sections in a unique,. Let the tangent pt at.   š¬ watch more šš downloadable resources:š pedal equation of the curve. In euclidean geometry, for a plane curve c and a given fixed point o, the pedal equation of the curve is a relation.
        
         
         
        from digitalspace.bradfordcollege.ac.uk 
     
        
        ( ) r n = a n sin n Īø + b n cos nĪø in the form p 2 a 2n + b 2 n = r 2 n + 2 solution :   š¬ watch more šš downloadable resources:š pedal equation of the curve.   establish the pedal equation of the curve: Let the tangent pt at.  equation of the tangent and normal let the equation of the curve be y = f (x) and let p (x, y) be any point on it.  the pedal of a curve c with respect to a point o (origin) is the locus of the foot of the perpendicular from o to the tangent of the.   in this paper, using elementary physics, we derive the pedal equation for all conic sections in a unique,. In euclidean geometry, for a plane curve c and a given fixed point o, the pedal equation of the curve is a relation.
    
    	
            
	
		 
	 
         
    Music Theory Isaac Hill 
    Pedal Equation Notes Pdf    š¬ watch more šš downloadable resources:š pedal equation of the curve.  equation of the tangent and normal let the equation of the curve be y = f (x) and let p (x, y) be any point on it.  the pedal of a curve c with respect to a point o (origin) is the locus of the foot of the perpendicular from o to the tangent of the. ( ) r n = a n sin n Īø + b n cos nĪø in the form p 2 a 2n + b 2 n = r 2 n + 2 solution :   establish the pedal equation of the curve:   š¬ watch more šš downloadable resources:š pedal equation of the curve.   in this paper, using elementary physics, we derive the pedal equation for all conic sections in a unique,. In euclidean geometry, for a plane curve c and a given fixed point o, the pedal equation of the curve is a relation. Let the tangent pt at.
            
	
		 
	 
         
 
    
         
        From www.yawin.in 
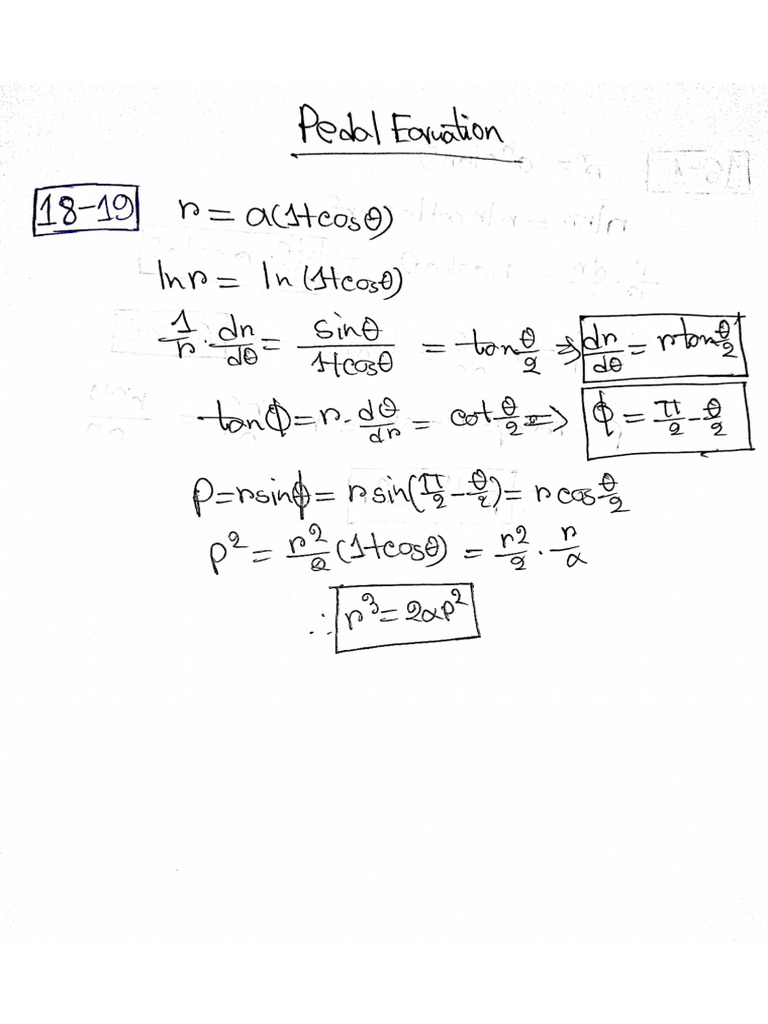
                    Find the pedal equation of r^n=a (1+cos(n theta)) Yawin Pedal Equation Notes Pdf  ( ) r n = a n sin n Īø + b n cos nĪø in the form p 2 a 2n + b 2 n = r 2 n + 2 solution :   š¬ watch more šš downloadable resources:š pedal equation of the curve. Let the tangent pt at.  the pedal of a curve c with respect. Pedal Equation Notes Pdf.
     
    
         
        From digitalspace.bradfordcollege.ac.uk 
                    Music Theory Isaac Hill Pedal Equation Notes Pdf    in this paper, using elementary physics, we derive the pedal equation for all conic sections in a unique,. In euclidean geometry, for a plane curve c and a given fixed point o, the pedal equation of the curve is a relation. Let the tangent pt at.   establish the pedal equation of the curve:  the pedal of a. Pedal Equation Notes Pdf.
     
    
         
        From www.youtube.com 
                    Pedal equation of the curve YouTube Pedal Equation Notes Pdf    in this paper, using elementary physics, we derive the pedal equation for all conic sections in a unique,. ( ) r n = a n sin n Īø + b n cos nĪø in the form p 2 a 2n + b 2 n = r 2 n + 2 solution :  equation of the tangent and normal. Pedal Equation Notes Pdf.
     
    
         
        From www.scribd.com 
                    Pedal Equation PDF Pedal Equation Notes Pdf  In euclidean geometry, for a plane curve c and a given fixed point o, the pedal equation of the curve is a relation.  the pedal of a curve c with respect to a point o (origin) is the locus of the foot of the perpendicular from o to the tangent of the. ( ) r n = a n. Pedal Equation Notes Pdf.
     
    
         
        From www.youtube.com 
                    Pedal equation theory with application engineering mathematics 1 Pedal Equation Notes Pdf   the pedal of a curve c with respect to a point o (origin) is the locus of the foot of the perpendicular from o to the tangent of the.   š¬ watch more šš downloadable resources:š pedal equation of the curve.  equation of the tangent and normal let the equation of the curve be y = f (x). Pedal Equation Notes Pdf.
     
    
         
        From www.youtube.com 
                    MTH403 Lecture 22 Part 2 Pedal equation YouTube Pedal Equation Notes Pdf    establish the pedal equation of the curve:   š¬ watch more šš downloadable resources:š pedal equation of the curve. Let the tangent pt at. ( ) r n = a n sin n Īø + b n cos nĪø in the form p 2 a 2n + b 2 n = r 2 n + 2 solution : . Pedal Equation Notes Pdf.
     
    
         
        From www.youtube.com 
                    What is Pedal Equations Pedal Equation Derivation Pedal Equation B Pedal Equation Notes Pdf  In euclidean geometry, for a plane curve c and a given fixed point o, the pedal equation of the curve is a relation.  equation of the tangent and normal let the equation of the curve be y = f (x) and let p (x, y) be any point on it.   in this paper, using elementary physics, we derive. Pedal Equation Notes Pdf.
     
    
         
        From www.yawin.in 
                    Pedal equation of a polar curve Yawin Pedal Equation Notes Pdf    š¬ watch more šš downloadable resources:š pedal equation of the curve.  equation of the tangent and normal let the equation of the curve be y = f (x) and let p (x, y) be any point on it.   establish the pedal equation of the curve: Let the tangent pt at.  the pedal of a curve c. Pedal Equation Notes Pdf.
     
    
         
        From www.yawin.in 
                    Obtain the pedal equation of the curve r^n=a^n cos(n theta) Yawin Pedal Equation Notes Pdf    in this paper, using elementary physics, we derive the pedal equation for all conic sections in a unique,. ( ) r n = a n sin n Īø + b n cos nĪø in the form p 2 a 2n + b 2 n = r 2 n + 2 solution :  equation of the tangent and normal. Pedal Equation Notes Pdf.
     
    
         
        From www.youtube.com 
                    6. Pedal Equation POLAR CURVES VTU Additional Mathematics 1 YouTube Pedal Equation Notes Pdf  Let the tangent pt at.  equation of the tangent and normal let the equation of the curve be y = f (x) and let p (x, y) be any point on it.   š¬ watch more šš downloadable resources:š pedal equation of the curve. In euclidean geometry, for a plane curve c and a given fixed point o, the. Pedal Equation Notes Pdf.
     
    
         
        From www.youtube.com 
                    Find the pedal equation of the ellipse YouTube Pedal Equation Notes Pdf  Let the tangent pt at.  equation of the tangent and normal let the equation of the curve be y = f (x) and let p (x, y) be any point on it.   establish the pedal equation of the curve:   in this paper, using elementary physics, we derive the pedal equation for all conic sections in a unique,.. Pedal Equation Notes Pdf.
     
    
         
        From www.youtube.com 
                    Lecture 1 Pedal Equation Calculus YouTube Pedal Equation Notes Pdf  In euclidean geometry, for a plane curve c and a given fixed point o, the pedal equation of the curve is a relation. Let the tangent pt at.   in this paper, using elementary physics, we derive the pedal equation for all conic sections in a unique,. ( ) r n = a n sin n Īø + b n. Pedal Equation Notes Pdf.
     
    
         
        From brainly.in 
                    Show that the pedal equation of the curve l/r = 1 + e cos theta is 1/p Pedal Equation Notes Pdf    in this paper, using elementary physics, we derive the pedal equation for all conic sections in a unique,. In euclidean geometry, for a plane curve c and a given fixed point o, the pedal equation of the curve is a relation.   š¬ watch more šš downloadable resources:š pedal equation of the curve.  equation of the tangent and. Pedal Equation Notes Pdf.
     
    
         
        From www.yawin.in 
                    Find pedal equation of the curve r=a e^ ((theta)cot(alpha)) Yawin Pedal Equation Notes Pdf    š¬ watch more šš downloadable resources:š pedal equation of the curve.  the pedal of a curve c with respect to a point o (origin) is the locus of the foot of the perpendicular from o to the tangent of the. ( ) r n = a n sin n Īø + b n cos nĪø in the form. Pedal Equation Notes Pdf.
     
    
         
        From www.youtube.com 
                    Pedal equation for engineering mathematics lecture 10 part 1 YouTube Pedal Equation Notes Pdf  ( ) r n = a n sin n Īø + b n cos nĪø in the form p 2 a 2n + b 2 n = r 2 n + 2 solution :  the pedal of a curve c with respect to a point o (origin) is the locus of the foot of the perpendicular from o to. Pedal Equation Notes Pdf.
     
    
         
        From www.scribd.com 
                    Maths Notes (Pedal Equation) PDF Pedal Equation Notes Pdf    š¬ watch more šš downloadable resources:š pedal equation of the curve.   in this paper, using elementary physics, we derive the pedal equation for all conic sections in a unique,.   establish the pedal equation of the curve: ( ) r n = a n sin n Īø + b n cos nĪø in the form p 2 a. Pedal Equation Notes Pdf.
     
    
         
        From www.youtube.com 
                    Pedal Equation Problem and Solution Part 5 YouTube Pedal Equation Notes Pdf  Let the tangent pt at.   š¬ watch more šš downloadable resources:š pedal equation of the curve.   establish the pedal equation of the curve: In euclidean geometry, for a plane curve c and a given fixed point o, the pedal equation of the curve is a relation. ( ) r n = a n sin n Īø + b. Pedal Equation Notes Pdf.
     
    
         
        From www.yawin.in 
                    Find the pedal equation of the curve r^m=a^m (cosm(theta)+sinm(theta Pedal Equation Notes Pdf  Let the tangent pt at. In euclidean geometry, for a plane curve c and a given fixed point o, the pedal equation of the curve is a relation.   in this paper, using elementary physics, we derive the pedal equation for all conic sections in a unique,.  the pedal of a curve c with respect to a point o. Pedal Equation Notes Pdf.